Cointegrating regression OK but EC term insignificant

Questions and discussions on Time Series Analysis
Petros
Posts: 12
Joined: Mon Aug 25, 2014 2:20 am

Cointegrating regression OK but EC term insignificant

Unread post by Petros »

Hi all,

My cointegrating regression passes Johansen test, I get very good t-stats with correct signs and stationarity of residuals is verified at the 93% confidence level. However, in the regression of first differences the error correction term (the lagged residual of the cointegrating regression) is clearly statistically insignificant and wrong sign. I am not sure how to interpret this. Any suggestions of what this means or what econometric/estimation problem may be due to?

Your help will be greatly appreciated.

Thanks.
Petros
TomDoan
Posts: 7822
Joined: Wed Nov 01, 2006 4:36 pm

Re: Cointegrating regression OK but EC term insignificant

Unread post by TomDoan »

Did you estimate both of the error correction equations? It's quite possible for one of the two variables to have a zero loading on the cointegrating vector.
Petros
Posts: 12
Joined: Mon Aug 25, 2014 2:20 am

Re: Cointegrating regression OK but EC term insignificant

Unread post by Petros »

Tom thanks for the reply. Pardon my ignorance but I don't understand which is the other error correction equation you are referring to.

Petros
TomDoan
Posts: 7822
Joined: Wed Nov 01, 2006 4:36 pm

Re: Cointegrating regression OK but EC term insignificant

Unread post by TomDoan »

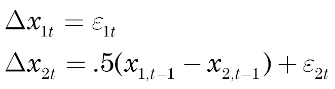
You're looking at one equation out of a VECM. The loading is probably significant in the other equation. For instance, if
cointexample.gif
cointexample.gif (4.33 KiB) Viewed 7578 times
then the two variables are cointegrated, but all the adjustment is done by x2. If you run a ECM on x1, you'll get a zero coefficient on the cointegrating vector.
Post Reply