GARCH Instruction problems

Discussions of ARCH, GARCH, and related models
sulong
Posts: 13
Joined: Sun Mar 20, 2011 1:59 am

GARCH Instruction problems

Unread post by sulong »

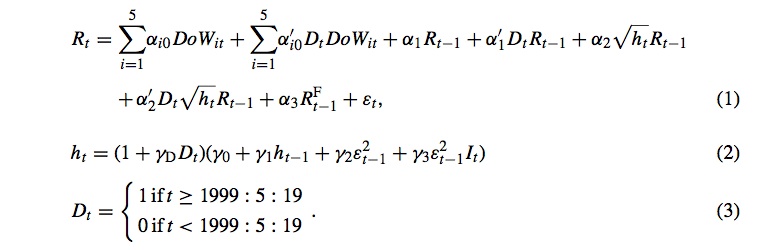
eq.jpg
eq.jpg (39.53 KiB) Viewed 5613 times
Hi Tom ,
I am trying to use RATS to estimate the coefficients for the above GJR Garch specification, used by Bohl & Brzeszczynski, 2006 in the attached article.

But I am facing some difficulties with the instructions,
The following is what i have so far, but how about
1.jpg
1.jpg (2.93 KiB) Viewed 5613 times
and
2.jpg
2.jpg (3.55 KiB) Viewed 5613 times
how can i instruct rats to include the above coefficients in the following code?

additionally, how about the Xregressors in the variance equation.


GARCH(P=1,Q=1,XREGRESSORS,REGRESSORS,Pmethod=sim,piters=20,resids=u,hseries=h,distrib=1,asymmetric,i=drift,method=1) / %S('r'+%l(i))
# Constant DoW1 DoW2 DoW3 Dow4 DoW5 DDoW1 DDoW2 DDoW3 DDow4 DDoW5 R(subscript t-1) (D(subscript)R(subscriptt-1)) R(subscript f)
#
Attachments
BohlJournal of International Financial Markets Institutions & Money2006.pdf
(207.69 KiB) Downloaded 777 times
TomDoan
Posts: 7822
Joined: Wed Nov 01, 2006 4:36 pm

Re: GARCH Instruction problems

Unread post by TomDoan »

For many reasons, you can't use GARCH to estimate that---there are just too many effects that have to be generated as part of the recursion. You'll have to use a MAXIMIZE set up. You should look at the replication file for Baillie and Bollerslev, "The Message in Daily Exchange Rates: A Conditional Variance Tale", JBES 1989, vol 7, pp 297-305 which uses day of the week effects.
sulong
Posts: 13
Joined: Sun Mar 20, 2011 1:59 am

Re: GARCH Instruction problems

Unread post by sulong »

Ok Tom, will do.

thanks
Post Reply