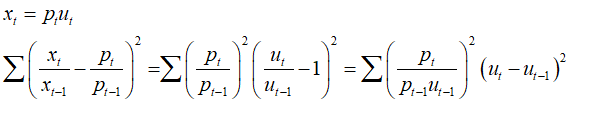
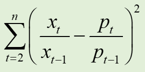
Benchmarking and temporal disaggregation is a very important issue not only in theory but also in statistics practices. Interpolation and Distribution, ch7. of RATS Handbook for State-Space Models, 2ed give me strong impression. I had read the origin codes of @disaggregate procedure, and rederive them. It is smart and simple method to estimate the proportional Denton problem by using the Kalman smoother technique. With further research, I acknowledge the ultimate the problem, eg. Growth Rate Preservation (GRP) as follows:

Under the inspiration of Kalman smoother solution of Denton, I wonder whether the Extend Kalman smoother could the solve the non-linear GRP problem alike Kalman smoother does linear Denton. My code works, however, its function value is insignificantly better than that of Denton, 0.2227 vs. 0.2399 respectively, but inferior to GRP, 0.080. So, I ask help, could improve EKF?
my code and xls as follows:
Hardmann