SVAR frml
SVAR frml
Hi Tom,
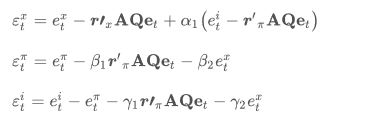
Could you give me a hint for coding up the SVAR model (in the paper A New Keynesian SVAR model of the Australian economy, Shawn Chen-Yu Leu 2011) like
u_x(t) = e_x(t) - r_x'*A*Q*e(t) + a1*(e_i(t) - r_pi'*A*Q*e(t)
...equation (17,18,19) (picture attached).
where u_x(t) is epsilon_x(t) in the paper.
I understand that r_x'*A*Q*e(t) is just forecasted errors of the respective variable but do not know how to write frml to put cvmodel solving structural params.
Many thanks.
Could you give me a hint for coding up the SVAR model (in the paper A New Keynesian SVAR model of the Australian economy, Shawn Chen-Yu Leu 2011) like
u_x(t) = e_x(t) - r_x'*A*Q*e(t) + a1*(e_i(t) - r_pi'*A*Q*e(t)
...equation (17,18,19) (picture attached).
where u_x(t) is epsilon_x(t) in the paper.
I understand that r_x'*A*Q*e(t) is just forecasted errors of the respective variable but do not know how to write frml to put cvmodel solving structural params.
Many thanks.
- Attachments
-
- equation.JPG (13.48 KiB) Viewed 8317 times
Re: SVAR frml
Have you contacted Prof. Leu? Those look like RATS graphs.
Re: SVAR frml
Thank Tom, but I've just got this idea and can implement it.
Best,
Best,
Re: SVAR frml
Hi Tom,
Is it correct if the estimated params do not change over Kilian Bootstrap iterate?
I think we are shuffling the errors with replacement, hence, some params may change slightly! But all alpha, beta, gamma remain constants when I print out the values within the loop. Any advice?
Many thanks,
Is it correct if the estimated params do not change over Kilian Bootstrap iterate?
I think we are shuffling the errors with replacement, hence, some params may change slightly! But all alpha, beta, gamma remain constants when I print out the values within the loop. Any advice?
Many thanks,
Re: SVAR frml
No, that's not correct. A bootstrap changes the VAR coefficients, which changes the A matrix and changes the residuals and thus changes the SVAR coefficients. You probably aren't recalculating the residuals and/or A matrix.