non linear gmm
Re: non linear gmm
Hi Tom
thank you for your help
the outputs of the estimation of the model gives me most non sgnificatifs coefficients
see the release of the attached model
are you an option to improve the fit of my coefficients
For example a: variables dummies, if so how I'll use it
Many thinks Mr TOM
thank you for your help
the outputs of the estimation of the model gives me most non sgnificatifs coefficients
see the release of the attached model
are you an option to improve the fit of my coefficients
For example a: variables dummies, if so how I'll use it
Many thinks Mr TOM
- Attachments
-
- output.wf24.RPF
- (9.16 KiB) Downloaded 974 times
Re: non linear gmm
Hi Tom
thank you for your help
the outputs of the estimation of the model gives me most non sgnificatifs coefficients
see the release of the attached model
are you an option to improve the fit of my coefficients
For example a: variables dummies, if so how I'll use it
Many thinks Mr TOM
thank you for your help
the outputs of the estimation of the model gives me most non sgnificatifs coefficients
see the release of the attached model
are you an option to improve the fit of my coefficients
For example a: variables dummies, if so how I'll use it
Many thinks Mr TOM
Re: non linear gmm
Are the signs OK on those? It looks odd for the lagged SBBHD to be negative particularly in the SBBHD estimation.
If they're insignificant, they're insignificant. IV estimates generally have higher standard errors than least squares, but the output gap is the only variable being instrumented, so that probably doesn't have that much of an effect. You might want to check whether the model is stable over your data range---that's a bit harder to check with IV estimates than least squares, but usually a serious break is obvious by looking at the residuals.
I would note that you changed your model from the original non-linear in parameters model to an equivalent linear form---it's possible that the non-linear parameters are a bit more sharply estimated than the products.
If they're insignificant, they're insignificant. IV estimates generally have higher standard errors than least squares, but the output gap is the only variable being instrumented, so that probably doesn't have that much of an effect. You might want to check whether the model is stable over your data range---that's a bit harder to check with IV estimates than least squares, but usually a serious break is obvious by looking at the residuals.
I would note that you changed your model from the original non-linear in parameters model to an equivalent linear form---it's possible that the non-linear parameters are a bit more sharply estimated than the products.
Re: non linear gmm
Dear Tom,
thank you for your help
do you subject to apply test chow
swallowing my research on user guide rats
i found : Chow Test Using Dummy Variables , @stabtest Hansen
if so how can apply this test
please let me now your opinion
Many thinks
thank you for your help
do you subject to apply test chow
swallowing my research on user guide rats
i found : Chow Test Using Dummy Variables , @stabtest Hansen
if so how can apply this test
please let me now your opinion
Many thinks
Re: non linear gmm
You use RESTRICT for equality constraints between two coefficients. TEST (as is used in PR10-3.RPF) is used for the simpler hypothesis of coefficients hitting specific values. An example is wintp140.rpf in the Wooldridge Introductory Econometrics example. That's for a linear regression, but the same process is used for a non-linear regression---you just have to make sure you use the correct positions to represent the restriction.
Re: non linear gmm
delta1 and delta2 are coefficients 3 and 4. pi1 and pi2 are 5 and 6. The tests would be done asred2 wrote: restrict(title="Test of Equality betowen the two Coffcients delta1 and delta2") 1
# 3
# 4
restrict(title="Test of Equality betowen the two Coffcients pi1 and pi2") 1
# 3
# 4
restrict(title="Test of Equality betowen the two Coffcients delta1 and delta2") 1
# 3 4
# 1 -1 0.0
restrict(title="Test of Equality betowen the two Coffcients pi1 and pi2") 1
# 5 6
# 1 -1 0.0
-
thaotc4ueh
- Posts: 6
- Joined: Sun Mar 08, 2015 11:17 am
Re: non linear gmm
Dear TomDoan,TomDoan wrote:delta1 and delta2 are coefficients 3 and 4. pi1 and pi2 are 5 and 6. The tests would be done asred2 wrote: restrict(title="Test of Equality betowen the two Coffcients delta1 and delta2") 1
# 3
# 4
restrict(title="Test of Equality betowen the two Coffcients pi1 and pi2") 1
# 3
# 4
restrict(title="Test of Equality betowen the two Coffcients delta1 and delta2") 1
# 3 4
# 1 -1 0.0
restrict(title="Test of Equality betowen the two Coffcients pi1 and pi2") 1
# 5 6
# 1 -1 0.0
How can I restrict together: 3=4, 5=6?
I highly appreciate your help,
Re: non linear gmm
For the joint test:thaotc4ueh wrote:Dear TomDoan,TomDoan wrote:delta1 and delta2 are coefficients 3 and 4. pi1 and pi2 are 5 and 6. The tests would be done asred2 wrote: restrict(title="Test of Equality betowen the two Coffcients delta1 and delta2") 1
# 3
# 4
restrict(title="Test of Equality betowen the two Coffcients pi1 and pi2") 1
# 3
# 4
restrict(title="Test of Equality betowen the two Coffcients delta1 and delta2") 1
# 3 4
# 1 -1 0.0
restrict(title="Test of Equality betowen the two Coffcients pi1 and pi2") 1
# 5 6
# 1 -1 0.0
How can I restrict together: 3=4, 5=6?
I highly appreciate your help,
restrict(title="Joint test for equality") 2
# 3 4
# 1 -1 0.0
# 5 6
# 1 -1 0.0
-
thaotc4ueh
- Posts: 6
- Joined: Sun Mar 08, 2015 11:17 am
Re: non linear gmm
oh, I just see that reply,thank you so much!
Re: non linear gmm
Hi TOM
how to interpret this result (TEST WALD)
Test of Equality betowen the coefficients delta1 and delta2
Chi-Squared(1) = 0.153965 with Significance level 0.69477438
Many thinks
how to interpret this result (TEST WALD)
Test of Equality betowen the coefficients delta1 and delta2
Chi-Squared(1) = 0.153965 with Significance level 0.69477438
Many thinks
Re: non linear gmm
That you wouldn't reject equality. Marginal significance levels are described on page 11 of the Introduction.
Re: non linear gmm
Hi Tom,
What I've understood is that when we compare 0.153965 with 0.69477438:
If 0.153965 is less than 0.69477438 then we accept the equality.
If we suppose that 0.153965 is more than 0.69477438, can we reject the equality?.
it's okay???
Many thanks.
What I've understood is that when we compare 0.153965 with 0.69477438:
If 0.153965 is less than 0.69477438 then we accept the equality.
If we suppose that 0.153965 is more than 0.69477438, can we reject the equality?.
it's okay???
Many thanks.
Re: non linear gmm
No. 0.153965 is the statistic (asymptotically a chi-squared 1). 0.69477438 is the probability that a chi-squared(1) is greater than .153965. Only if the significance level is small (.05 being the conventional level) would you reject the hypothesis. Please read the page I cited if you don't understand this.
Re: non linear gmm
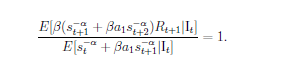
Hello ,Tom!I am trying to replicate an euler equation estimation taking the form as attached,and S(t)=C(t)+a*C(t-1).
I programmed the code as followed,is there a better way?I am confused about how to set the instruments now.
I programmed the code as followed
Code: Select all
*
nonlin discount riskaver aconsum
frml h1 = discount*realret1(t)*((c{1}+aconsum*c{2})^riskaver+discount*(c+aconsum*c{1})^riskaver)/((c{2}+aconsum*c{3})^riskaver+discount*(c{1}+aconsum*c{2})^riskaver)-1
frml h2 = discount*realret2(t)*((c{1}+aconsum*c{2})^riskaver+discount*(c+aconsum*c{1})^riskaver)/((c{2}+aconsum*c{3})^riskaver+discount*(c{1}+aconsum*c{2})^riskaver)-1
compute discount = .99,riskaver = -.95,aconsum=0- Attachments
-
- asset pricing.png (2.93 KiB) Viewed 21718 times
Re: non linear gmm
Are you sure about the form of the Euler equation? It's usually in the form E(f/g)=1, which transforms into the E(f/g-1)=0 that you're using. You have it written as Ef/Eg=1 which isn't the same as E(f/g-1)=0. Instead, you would have to transform that to E(f-g)=0. However, even if the E(f/g-1) form is correct, you have the timing all off on your formula. C{1} is lagged C---you want C{-1} for the lead. And you're mixing current interest rate with what should be leads of C, when the formula has future R instead.
Theoretically, anything in the information set at t is available as an instrument. Aside from CONSTANT, that would mean current realret and C which would just identify the model. You probably would want at least a few lags for those two as well.
Theoretically, anything in the information set at t is available as an instrument. Aside from CONSTANT, that would mean current realret and C which would just identify the model. You probably would want at least a few lags for those two as well.