how to identify error correction term

A forum for questions and answers regarding the CATS cointegration procedure
upani
Posts: 55
Joined: Wed Jun 25, 2014 3:31 am

how to identify error correction term

Unread post by upani »

Dear All,

How do i identify the error correction term in CATS Anlaysis.

With regards,
Upananda
TomDoan
Posts: 7822
Joined: Wed Nov 01, 2006 4:36 pm

Re: how to identify error correction term

Unread post by TomDoan »

What do you mean?
upani
Posts: 55
Joined: Wed Jun 25, 2014 3:31 am

Re: how to identify error correction term

Unread post by upani »

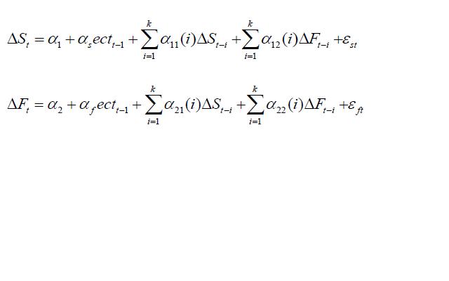
After estimating the cointegration, I am interested to estimate the vecm model
vecm.jpg
vecm.jpg (15.01 KiB) Viewed 11288 times
. So i want to know the following parameter on error correction term on each equation for the spot and futures price respectively. I want to know how to get the parameter after estimating in CATS.
TomDoan
Posts: 7822
Joined: Wed Nov 01, 2006 4:36 pm

Re: how to identify error correction term

Unread post by TomDoan »

While you can get that out of CATS, you're better off with a system like that to let CATS help you figure out the rank and do various diagnostics, but then have RATS actually estimate the VECM once you've settled on the specification. Use @JOHMLE to estimate the cointegration vector (it will give identical results for an identical model) and SYSTEM with an ECT instruction to set up the VECM. See Section 7.8 and Example 7.7 in the v8 User's Guide.
Post Reply