Identification issue in State-Space model

Discussion of State Space and Dynamic Stochastic General Equilibrium Models
fan
Posts: 215
Joined: Wed Jun 19, 2013 5:14 pm

Identification issue in State-Space model

Unread post by fan »

Dear Tom,

I have questions about identification in state-space model and I am looking for your help.

My example model looks like this.

How do I know whether it has idenification issue? and How do I fix the issue?
Attachments
p1.png
p1.png (1.86 KiB) Viewed 19908 times
TomDoan
Posts: 7822
Joined: Wed Nov 01, 2006 4:36 pm

Re: Identification issue in State-Space model

Unread post by TomDoan »

The identification issue you have with a model like that is a normalization between the gamma's and the y's. The simplest fix is to make the variance in the transition equation equal to 1 rather than a free parameter. Other than that, I don't see any issue.
fan
Posts: 215
Joined: Wed Jun 19, 2013 5:14 pm

Re: Identification issue in State-Space model

Unread post by fan »

TomDoan wrote:The identification issue you have with a model like that is a normalization between the gamma's and the y's. The simplest fix is to make the variance in the transition equation equal to 1 rather than a free parameter. Other than that, I don't see any issue.
Dear Tom, Thanks for the quick reply. I see how to fix the problem but I am still not clear when I need to do normalization between the gamma's and the y's. Moreover, could you please kindly let me know how I can express the MU for the model? By any change,do you know whethere there is a close example I can read?
TomDoan
Posts: 7822
Joined: Wed Nov 01, 2006 4:36 pm

Re: Identification issue in State-Space model

Unread post by TomDoan »

The need for normalization in this type of model is covered in the State Space course:

"One final issue here is that, if the gamma parameters are freely estimated, then there is a lack of identification of the scale of the C(t) [common cycle] process. We don’t face this with a single observable, because the loading is naturally fixed at one. We could also fix one of the loadings at one, or otherwise normalize those, but it’s simpler to normalize by making the variance of the shock to C(t) to one."

mu=||alpha0+alpha1*x{1},beta0+beta1*x{1}||

I don't know of an example which is a multivariate state space model with regression component and a common cycle.
fan
Posts: 215
Joined: Wed Jun 19, 2013 5:14 pm

Re: Identification issue in State-Space model

Unread post by fan »

TomDoan wrote:The need for normalization in this type of model is covered in the State Space course:

"One final issue here is that, if the gamma parameters are freely estimated, then there is a lack of identification of the scale of the C(t) [common cycle] process. We don’t face this with a single observable, because the loading is naturally fixed at one. We could also fix one of the loadings at one, or otherwise normalize those, but it’s simpler to normalize by making the variance of the shock to C(t) to one."

mu=||alpha0+alpha1*x{1},beta0+beta1*x{1}||

I don't know of an example which is a multivariate state space model with regression component and a common cycle.
Thank you for your explantion.
fan
Posts: 215
Joined: Wed Jun 19, 2013 5:14 pm

Re: Identification issue in State-Space model

Unread post by fan »

Hi Tom,
I am sorry to ask question again. I modified my toy model a little and I am trying to wrtie code for it. Would you please kindly have a look at the code?

Code: Select all

linreg r1
# constant x{1}
frml(lastreg,vector=b1) lineareqr1
set du = %resids-%resids{1}
linreg du
#dummy dummy{1}
compute sigv1=sqrt(%seesq)

linreg r2
# constant x{1} 
frml(lastreg,vector=b2) lineareqr2
set du = %resids-%resids{1}
linreg du
# dummy dummy{1}
compute sigv2=sqrt(%seesq)

nonlin b1 b2 gamma1 gamma2  phi d1 d2=-phi*d1 sigv1 sigv2
dec symm sv(2,2)
compute sv=%diag(||sigv1^2,sigv2^2||)
dec frml[symm]  zf  af
frml zf = ||d1*dummy+d2*dummy{1}||
frml af = ||phi||
compute phi=1.0
dec rect c(1,2)
compute c(1,1)=gamma1, c(1,2)=gamma2
compute gamma1=0.3
compute gamma2=0.8

dlm(presample=ergodic,a=af,c=c,z=zf,MU=||lineareqr1, lineareqr2||,f=1.0,sv=sv,sw=1.0,y=||r1,r2||,method=bfgs,vhat=vhat,svhat=svhat, type=filter) / xstatesset a =%scalar(xstates)
In addition, gamma1 and gamma2 are two free parameters in model. However, I found that once initial values are assigned to them, the system takes them as fixed parameters. In other cases, when initial values are not assigned, the system can not produce valid results. Do you have any suggestion on how I should assign the initial values for the free parameters in the model?
Attachments
p2.png
p2.png (1.37 KiB) Viewed 19891 times
TomDoan
Posts: 7822
Joined: Wed Nov 01, 2006 4:36 pm

Re: Identification issue in State-Space model

Unread post by TomDoan »

That's because your C is a fixed matrix rather than a FRML[RECT].
fan
Posts: 215
Joined: Wed Jun 19, 2013 5:14 pm

Re: Identification issue in State-Space model

Unread post by fan »

TomDoan wrote:That's because your C is a fixed matrix rather than a FRML[RECT].
Dear Tom,

Thank you for the reply. I have a new question now. So far all the examples I read about state-space model are focusing on the contemporaneous relationship between the dependent variables and the unobserved state factors. I would like to know whether it is possible for us to include the lagged state factors in the measurement equation. Is there any existing example I can take a look? Many Thanks!
TomDoan
Posts: 7822
Joined: Wed Nov 01, 2006 4:36 pm

Re: Identification issue in State-Space model

Unread post by TomDoan »

Didn't you already ask about the Kim and Nelson example with four lags of the cycle on one of the series?
fan
Posts: 215
Joined: Wed Jun 19, 2013 5:14 pm

Re: Identification issue in State-Space model

Unread post by fan »

TomDoan wrote:Didn't you already ask about the Kim and Nelson example with four lags of the cycle on one of the series?
Hi, Tom
Thanks for the reply. I remember the Stock and Watson's example from the KIM and Nelson's book. I guess I did not make my question clear to you.
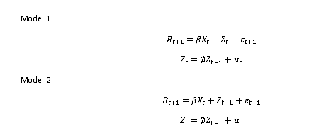
For exmaple, I have two very similar models and the only difference is that in model 1, the state variable is lagged ; but the state vairbale is not lagged in my second model. I am wondering how the computer can tell the difference here since the MU, A, C, F,SV,SW are the same for both models.
Attachments
mode1.png
mode1.png (2.71 KiB) Viewed 19848 times
TomDoan
Posts: 7822
Joined: Wed Nov 01, 2006 4:36 pm

Re: Identification issue in State-Space model

Unread post by TomDoan »

If there is no correlation between u and epsilon and there is nothing else in the model, those two representations are effectively identical---you'll get exactly the same log likelihood with the only difference between the entry mapping in the Z process. In order to implement this as model 1 (with Z dated one period before the observable), you would need to augment the state to include a lag, that is, you need the state to read
ssm example.gif
ssm example.gif (2.33 KiB) Viewed 19845 times
so you can use [0.0,1.0] for the "C" loadings.
fan
Posts: 215
Joined: Wed Jun 19, 2013 5:14 pm

Re: Identification issue in State-Space model

Unread post by fan »

TomDoan wrote:If there is no correlation between u and epsilon and there is nothing else in the model, those two representations are effectively identical---you'll get exactly the same log likelihood with the only difference between the entry mapping in the Z process. In order to implement this as model 1 (with Z dated one period before the observable), you would need to augment the state to include a lag, that is, you need the state to read
ssm example.gif
so you can use [0.0,1.0] for the "C" loadings.
Thanks for the super quick reply.
fan
Posts: 215
Joined: Wed Jun 19, 2013 5:14 pm

Re: Identification issue in State-Space model

Unread post by fan »

Hi Tom,
Could you please let me know how you would give the initial values to the gammas, theta and d1 parameters if you have a model like this? Many Thanks
Attachments
p2.png
p2.png (1.37 KiB) Viewed 19842 times
TomDoan
Posts: 7822
Joined: Wed Nov 01, 2006 4:36 pm

Re: Identification issue in State-Space model

Unread post by TomDoan »

d1 can safely be zero. You're probably already running linear regressions of the dependent variables on 1 and x{1} to get guess values for the regression parameters. Pick a moderate value for phi like .7. With the variance of the shock to the state pegged to 1, the variance of y would be roughly 2. Reasonable guesses for the gammas would then be sqrt(regression variances/2).
fan
Posts: 215
Joined: Wed Jun 19, 2013 5:14 pm

Re: Identification issue in State-Space model

Unread post by fan »

TomDoan wrote:d1 can safely be zero. You're probably already running linear regressions of the dependent variables on 1 and x{1} to get guess values for the regression parameters. Pick a moderate value for phi like .7. With the variance of the shock to the state pegged to 1, the variance of y would be roughly 2. Reasonable guesses for the gammas would then be sqrt(regression variances/2).
Dear Tom, Thank you for your detailed reply. I am wondering whether I can restrict phi to be between 1 and -1 and force the state variable to follow a stable ar process. In addition, if the estimate of the phi is insignificant, does it mean that the sample data does not support the hypothesized dynamic process for the state variable? so I need to think about a different dynamic process, right?
Post Reply